Einfluss des Klimas: Unterschied zwischen den Versionen

Steinzeitliche Sammlung Eickelkamp

Einfluss des Klimas: Unterschied zwischen den Versionen

(Eselkarawanen von Dakhla nach Nubien unter Berücksichtigung der klimatischen Bedingungen.)
(Eselkarawanen von Dakhla nach Nubien unter Berücksichtigung der klimatischen Bedingungen.)
Zeile 1.441: Zeile 1.441:
 
6.) Der eigentliche Wassertransport benötigt 9 x 280 Eseltage.
 
6.) Der eigentliche Wassertransport benötigt 9 x 280 Eseltage.
  
[[File:Eselkarawanen von Dakhla Tabelle Eseltage.png|400px]]
+
[[File:Eselkarawanen von Dakhla Tabelle Eseltage.png|600px]]
  
 
Danach enthalten das Abu Ballas Depot und die weiteren Zwischendepots 300 Krüge mit 10m³ Wasser aber noch kein Futter für die Tiere, keine Nahrung für die Begleitmannschaft und kein Feuerholz.
 
Danach enthalten das Abu Ballas Depot und die weiteren Zwischendepots 300 Krüge mit 10m³ Wasser aber noch kein Futter für die Tiere, keine Nahrung für die Begleitmannschaft und kein Feuerholz.
Zeile 1.508: Zeile 1.508:
 
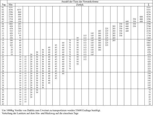
'''Anzahl der Tiere auf dem Hin- und Rückweg'''
 
'''Anzahl der Tiere auf dem Hin- und Rückweg'''
  
[[File:Eselkarawanen von Dakhla Tabelle 1.png|400px]]
+
[[File:Eselkarawanen von Dakhla Tabelle 1.png|500px]]
  
 
'''Erster Abschnitt'''
 
'''Erster Abschnitt'''
  
[[File:Eselkarawanen von Dakhla Tabelle 2.png|400px]]
+
[[File:Eselkarawanen von Dakhla Tabelle 2.png|600px]]
  
 
'''Zweiter Abschnitt'''
 
'''Zweiter Abschnitt'''
  
[[File:Eselkarawanen von Dakhla Tabelle 3.png|400px]]
+
[[File:Eselkarawanen von Dakhla Tabelle 3.png|600px]]
  
 
'''Dritter Abschnitt'''
 
'''Dritter Abschnitt'''
  
[[File:Eselkarawanen von Dakhla Tabelle 4.png|400px]]
+
[[File:Eselkarawanen von Dakhla Tabelle 4.png|600px]]

Version vom 20. Juli 2017, 17:24 Uhr

Das postpleistozäne Klima Abu Tarturs während der steinzeitlichen Besiedlungsperiode.

Nach der hyperariden Endphase des Pleistozäns setzten in der westlichen Wüste Ägyptens vor rund 11.000 Jahren Regenfälle ein, die das Land erneut ergrünen ließen und so den einwandernden Menschen einen Lebensraum boten, der gegenüber dem Niltal im Osten und den feuchten Savannen in der Höhe des Wadi Howar im Süden, klare Vorteile auf seiner Seite gehabt haben musste. Wenn dies nicht der Fall gewesen wäre, hätten die Einwanderer günstigere Klimazonen gewählt.

Der auf seine Siedlungsqualität untersuchte geographische Raum hat sein kulturelles Zentrum in Abu Tartur (30°10’ Ost / 25°30’ Nord, Mittelwerte) reicht aber vom 24. bis zum 27. Breitengrad Nord und von der Großen Sandsee bis zu den Kharga Oasen. Da es der Zweck dieses Kapitels ist, das Klima während der steinzeitlichen Phasen des Holozäns zu rekonstruieren, müssen zunächst die geomorphologischen Gegebenheiten und das quartärgeologische Sedimentations- und Deflationsgeschehen untersucht werden.

Die Deflation ist in ariden Klimagebieten in höchstem Maße an der Gestaltung der Oberflächen beteiligt. Jährlich fliegen aus der Sahara rund 250 Millionen Tonnen Wüstenstaub nach Westen in Richtung Atlantik und nach Süden fallen vor der Küste Westafrikas Jahr für Jahr weitere Abermillionen Tonnen in den Ozean (GEO Kompakt 19). In der westlichen Wüste Ägyptens weht der Wind hauptsächlich aus nördlichen Richtungen, wie die Dünenzüge der großen Sandsee und des Abu Muharig anschaulich belegen. Auch die Orientierung von Sicheldünen gibt die vorherrschende Richtung der Winde an. Während des Weges über die ausgetrockneten Flächen wird vom Wind nicht nur Sand transportiert sondern in weit höherem Maße Staub. Schon geringe Luftbewegungen wirbeln das feine Lockersediment der Böden auf und verfrachten es nach Süden.

Staubsturm Abu Tartur 1985.jpg

Abb.: Staubsturm Abu Tartur, 1985

Die Deflationsraten hängen neben der Stärke und der Häufigkeit des Windes vor allem von der Oberflächenart ab. Sie wird bei festem Gestein gering sein, bei Böden jedoch hoch. Eine Rolle spielen ebenfalls die geomorphologischen Gegebenheiten, die in Ebenen dem Wind freien Raum geben, in Gebirgen hingegen abbremsen. Für die Oase Kharga sind Raten von bis zu 8 mm/Jahr gemessen worden. Die Tabelle zeigt auf der Abszisse die Zeit und auf der Ordinate die angenommenen Bodenmächtigkeiten. Drei verschieden starke Deflationsraten sind im Koordinatensystem eingezeichnet und zeigen wie lange Böden der Deflation standhalten. Nach dieser Tabelle wären heute selbst bei einer minimalen Deflationsrate von durchschnittlich 0,5 mm/Jahr Böden von ursprünglich drei Metern Mächtigkeit vollständig ausgeräumt, falls der Abtragungsprozess 6000 BP beginnen würde.

Die Fundstellen auf dem Abu Tartur Plateau sind größtenteils an flache, mit terra-rossa Böden gefüllte Senken gebunden. Auf der Hochfläche überragen die umgebenden Hügel das Tiefste der Senke nur um wenige Meter. Ähnliche Verhältnisse existieren im Westen des Plateaus in der Nähe der Dakhla Oasen. (Siehe Waldhoff „Spectral analysis of remote sensing data for geomorphological, geological and geoecological research in arid Africa”. Seite 91 Atlas of cultural and environmental change in arid Africa. 2007 O. Bubenzer, A. Bolten, F. Darius Herausgeber). Die von Waldhoff als playa deposits bezeichneten Ablagerungen sind als Rotböden anzusprechen wie die Oberflächenstruktur des Plateaus nahe legt. Es kann von einer Pedogenese auf der Gesamtfläche des Plateaus ausgegangen werden obwohl z.Zt. nur größere Flächen von Abu Tartur und der Südwestecke des Plateaus bekannt sind.

Lageskizze Abu Tartur

Abb.: Abu Tartur Gesamtübersicht

Possible development.png

Abb.: Mögliche Entwicklung der Bodenbildung und Abtragung durch exogene Kräfte

Spectral analysis 2007.jpg

Abb.: Spektral Analyse im Süd-Westen des Abu Tartur Massivs, G. Waldhoff, 2007

Der Zeitpunkt der Bodenbildung ist wie für die Playas am Fuße des Plateaus, das frühe Holozän ab etwa 11.000 BP, da vorher, während der letzten 60.000 Jahre des Pleistozäns ein hyperarides Klima mit starker äolischer Aktivität herrschte, durch welche der harte Kurkurkalkstein poliert und die heutigen flachen Senken ausgeschliffen wurden. („From 70.000 bp until perhaps 12.000 bp, the sahara was hyperarid and seemingly devoid of life." In: The Middle Paleolithic of North Africa. A Status Report by F. Wendorf and R. Schild. In: New light on the Northeast African Past. Köln 1992.)

Es wäre verfehlt von Paläoböden (Pleistozän) auszugehen, da bei den hohen Deflationsraten ein feinstkörniger, weicher, ungeschichteter Boden während der großen Zeiträume ausgeräumt worden wäre. Hinzu kommt das Vorhandensein von eingebetteten holozänen Artefakten. Pleistozäne Werkzeuge kommen in den Böden nicht vor, allenfalls werden einige wenige Aterienspitzen und verstreute Levalloisabschläge auf der steinigen Oberfläche gefunden. Die dünnen Schichten rezenter pelitischer Sedimente sind wie das Ausgangsgestein hellgrau gefärbt, unter den heutigen hyperariden Konditionen ist nichts anderes zu erwarten.

In den Dolineneinbrüchen auf dem Kalksteinplateau, vor Deflation weitgehend geschützt, lassen sich solche hellgrauen Schichten auf Fundstellen wie 0003/84, 0004/84, 0026/84 und anderen beobachten. Gräbt man einige Dezimeter tief in diesen Schichten, so verändert sich die Farbe des Sediments in ein Rosagrau oder ein Grau mit einem schwachen Hauch Rot. Diese Mischfarbe tendiert immer stärker nach Rot je tiefer in die Schichten vorgedrungen wird. Der eigentliche Fundplatzboden ist durch rotbraune, playaähnliche Färbung gekennzeichnet. Das kontinuierliche Abnehmen der Rubefizierung vom liegenden zur Oberfläche hin veranschaulicht eine langsame Verringerung der Winterniederschläge und belegt eine holozäne Bildung der Ablagerungen.

Dieser Befund ist nicht durch Fotos oder Zeichnungen dokumentiert worden. Diese Fundstellen sind jedoch ohne große logistische Aufwendungen aufzufinden und jeder Klimaforscher oder Berufsarchäologe könnte an Ort und Stelle diese Beobachtungen verifizieren. Es wäre von großer Bedeutung, denn hier liegt der Beweis für eine holozäne Bildung der terra rossa Böden auf dem Plateau und damit auch der Rotböden in der Sandsteinebene.

Ein weiteres bedeutendes Rotbodenvorkommen liegt in der Sandsteinebene rund 50 km westlich der Asphaltstraße Esba el Gaga – Baris – Esba Maks el Qibli oder 70 – 100 km südlich von Abu Tartur (CONOCO Sheet Baris 1:250.000 by G. Poehlmann et al. TFH Berlin 1982). Zwei durch Sandbedeckung getrennte Restflächen mit einer Größe von ca. 300 km² lassen ahnen wie dieser Teil der Vollwüste zu Beginn der holozänen, steinzeitlichen Besiedlung ausgesehen haben mag.

H.J. Pachur und H.P. Roeper qualifizieren die Ablagerungen in der „Roten Wüste“ in ihrem Artikel „The Libyen (Western) desert and northern Sudan during the late Pleistocene and Holocene“ als pelitic sediments. Holzkohle von der Oberfläche wurde auf 9260 +- 370 BP bzw. 7790 +- 340 BP datiert. Im Sediment eingeschlossene Straußeneischalen ergaben Werte von 7280 +- 110 BP und 6760 +- 70 BP. H.P. Uerpmann analysierte die gefundenen Knochen. Neben gazella dorca und gazella dama kommen ein mittelgroßer bis großer Bovide vor, caprinae, ammotragus und lepus capensis und struthio.

Auch G. Ulbrich (vormals GTZ), der die rote Wüste aus eigener Anschauung als eine eintönige Ebene im nubischen Sandstein, zum Teil mit Sandfeldern und stellenweise einigen Hügeln durchsetzt, kennt, bestätigt den Bodencharakter der roten Sedimente. Ein weiteres gutes Beispiel für die Einbettung von Artefakten bietet in Abu Tartur Playa Ingrid, Fundplätze 1014/82 und 1019/82, wo Mengen von holozänen Werkzeugen von der Reibschale bis zum feinsten Bohrer oberhalb der Playaablagerungen von sandigen Rotböden umschlossen sind.

Rubefizierungen von Sanden werden ebenfalls aus der Großen Sandsee beschrieben (H. Besler, O. Bubenzer) wobei die chemische Verwitterung der Quarze im Norden (26°40’N) stärker war als an den Messpunkten weiter südlich (25°30’N). Ferner sind Restböden und Rotfärbungen aus Djara 98/20 bekannt. H. Besler beschreibt einen Profilschnitt wie folgt : „... die im Profil auftretenden Wurzelstrukturen (wahrscheinlich Schilf) belegen das ehemalige Fußen dichterer Vegetation. An der Basis (Kontaktzone von Kalkstein und Playasedimenten, Anm. des Verfassers) treten Lösungshohlformen im anstehenden Kalkstein auf, die z.T. mit rekristallisiertem Kalzit, z.T. mit einem leuchtend roten, sandigen, bodenartigen Sediment gefüllt sind. Auf den umliegenden Hängen des Beckens wurden in windgeschützten Lagen vergleichbare Sedimente vorgefunden, die als Reste einer ehemaligen initialen Bodenbildung gedeutet werden können“.

Diese Beschreibung deckt sich mit meinen eigenen Beobachtungen, wobei noch hinzuzufügen wäre, dass sich die Kalzitkristalle nur in einem dauerfeuchten Milieu bilden konnten.

Günstige Voraussetzungen zur Bildung und Konservierung von nicht lateritischen Rotböden sind geringe Höhenunterschiede, wie sie auf dem Plateau und in der Sandsteinebene gegeben sind und ein wechselfeuchtes Klima, wie es in afrikanischen Savannen vorherrscht, z.B. im Sudan in der Höhe des 12. Breitengrads Nord, wo heute noch Bedingungen herrschen, unter denen sich Rotböden bilden können. Eine dieser Bedingungen ist eine Niederschlagsmenge von mehr als 500 mm Sommerregen im Jahr oder äquivalenter Winterregen.

Eine weitere Bodenart im behandelten Raum ist das pelitische Sediment mit äolischen Einträgen, die Playaablagerung. Es ist zu unterscheiden zwischen Seen und Seeablagerungen mit Kalkkrustenbildung und reichlichen biologischen Einträgen einerseits und Playabecken mit nur geringen Resten aquatischer Fauna und Flora und fehlender Kalkausfällungen andererseits. Erstere liegen südlich des Wendekreises und westlich auf libyschem Gebiet und stehen oder standen in Verbindung mit den zu Beginn des Holozäns höheren Grundwasserspiegeln, eine Tatsache, welche einen gleichmäßigen Wasserstand begünstigte, der wiederum Strände und einen Bewuchs der Seeränder erlaubte.

Aus hydrogeologischen Gründen, der Grundwasserspiegel in Abu Tartur z.B. liegt heute bei rund 1000 m Tiefe und war auch im Frühholozän nicht viel höher, dürften die nördlich des Wendekreises und östlich der libyschen Seebildungen gelegenen schluffig- tonigen Sedimente in Endpfannen gebildet worden sein, in Geländehohlformen, die im Pleistozän durch Deflation ausgeschliffen worden sind. Da die dort gesammelten Wassermengen vom Grundwasser getrennt waren, konnten die Wasserspiegel stark variieren und so weder Strände noch regelmäßigen Randbewuchs bilden. Störend auf Leben im oder unmittelbar am Wasser konnte sich auch die hohe Dynamik beim Wassereintrag auswirken. Die relative biologische Armut der Sedimente sagt demnach nichts über die vorhandene Wassermenge oder die Dauer der Verfügbarkeit von Oberflächenwasser aus. Die Höhe der Niederschlagsmenge, die mittlere Verdunstungsrate und die Speicherkapazität der Playaböden sind hier die ausschlaggebenden Größen.

Für Abu Tartur könnte die Playa Renate / Vera mit einer Fläche von ca. 11 km² und einer Restmächtigkeit von bis zu 29 m dienen (seismische Messung durch Burkhardt TU Berlin in Pachur und Roeper „The libyan (western) desert and northern Sudan during the late pleistocene and holocene“ 1984).

Die Masse der Sedimente liegt im 100 Millionen Kubikmeterbereich und bei einer Speicherkapazität von lediglich 5 % freiem Wasser und Brunnen von 3 m Tiefe stünde rein rechnerisch eine tägliche Wassermenge in der Größenordnung von einigen 100.000 l zur Verfügung. In dieser Annahme wird nur von untertägigem Speicherwasser ausgegangen. Oberflächenwasser wäre somit für die Versorgung großer Gruppen mit Haustieren nicht nötig gewesen. Das Tiefste des Playakörpers wäre in jedem Fall dauerhaft feucht gewesen. Bestätigt wird die Speicherkapazität der Playas von Wendorf / Schild in „Cattle Keepers“ Seite 16 und Seite 22 (Analysen von B. Winter, Institut of Basic Geology, Warsaw University). Ferner von A.E. Close auf Grund ihrer Beobachtungen in Nabta Playa.

K. Neumann schreibt dazu in „Forschungen zur Umweltgeschichte der Ostsahara“ Seite 120 Zitat : „Wichtig ist vielmehr, dass die Wadisedimente eine gewisse Mächtigkeit erreicht haben, so dass die tiefer gelegenen Schichten gegen Austrocknung geschützt sind (Kassas 1952)“. Die Fähigkeit Wasser im Playakörper zu speichern wird durch die Struktur der Sedimente begünstigt. Sandige Lagen wechseln sich mit tonig- schluffigen ab. Während der Sand das Wasser weiterleiten und speichern kann, vermindern die tonigen Schichten die Evaporation. Drei Aufschlüsse in Abu Tartur zeigen neben der Wechsellagerung auch mächtige Pakete ungeschichteten, tonigen Materials von dunkel rötlichbrauner Farbe. Diese werden als Niedrigenergie- Sedimente bezeichnet und lassen auf sanften, regelmäßigen Regen schließen, in unserem Fall auf Winterregen. Da diese Art von Ablagerungen bis in den Gilf Kebir reicht, kann von Winterregen in der gesamten westlichen Wüste ausgegangen werden. In weiten Teilen der östlichen Sahara kommt es also zu einer Überlappung von tropischem Sommerregen und mediterranem Winterregen.

Die Playasedimente Abu Tarturs würden es durch ihre Mächtigkeit erlauben die im Gilf Kebir gewonnenen Erkenntnisse über das Klimageschehen während der steinzeitlichen Phase des Holozäns zu ergänzen, zumal auch hier ein zusätzlicher Eintrag durch Quellen auszuschließen ist.

Die Flora

Zur Beurteilung der Flora im behandelten Raum wird häufig die Studie von K. Neumann in „Forschungen zur Umweltgeschichte der Ostsahara“ (1989 R. Kuper Herausgeber) herangezogen. Auf einem Nord- Süd Transekt von ca. 1500 km Länge, das entspricht der Entfernung Hamburg – Rom, sind Holzkohlenproben von sechs Fundgebieten berücksichtigt worden. Diese sind für den südlichen Teil das Laqiya Gebiet, Selima Sandsheet und Gilf Kebir für die Periode um 5700 BP. Zu dieser Zeit war der Raum um den 25. Breitengrad Nord weitestgehend von Menschen verlassen.

Für den nördlichen Teil des Transekts wurden der Gilf Kebir, Abu Ballas (Mudpans) und Sitra für die Zeit um 7000 BP bis 6500 BP ausgewählt. Gegen 6400 BP wurden letzte Playabildungen gemessen, die Bezugsperiode liegt also am Ende der Feuchtphase für die Region um den 25. Breitengrad Nord. Außerdem sind Proben aus der großen Sandsee (Abu Minqar) und dem Wadi Howar eingeflossen.

Berücksichtigt wurden lediglich die Analysen von Hölzern, die wichtige, klimaanzeigende Kraut- und Grasvegetation konnte nicht untersucht werden. Feuerhölzer unterliegen einer Selektion durch den Menschen und sind daher weniger geeignet ein Klimaprofil zu erstellen. Eines der Resultate besagt, dass die Mudpans ein vorgeschobener Außenposten sahelischer Taxa seien. Eine Holzkohlenprobe von Djara (S. Nussbaum) verschob diesen Vorposten des Sommerregens um ca. 300 km nach Norden. Nicht berücksichtigt wurde die frühe Phase des Holozäns von 11.000 BP bis 7000 BP.

K. Neumann räumt denn auch ein, dass die Anzahl der Messpunkte zu gering, die nicht untersuchten Zwischenräume zu groß und die Menge und Qualität der Holzkohlen nicht immer ausreichend waren. Auf der Grundlage ihrer exzellenten, wenn auch, wie sie selbst sagt, nicht vollständigen und umfassenden Arbeit, kann dennoch gut aufgebaut werden.

Die ausgezählten Holzkohlenstücke der einzelnen Taxa zeigen für das Gesamtgebiet des Transekts eine Dominanz von zwei Gehölzen. Tamarisken plus Akazien erreichen im Norden (Siwa- Qattara) 97,8 %, in Abu Minqar 100 %, in der glass area 97,7 % und in den Mudpans 93,0 %. Im Gilf Khebir ist der Prozentsatz mit 76,1 % wesentlich geringer obwohl hier eine zusätzliche Menge von acacia albida mitgezählt worden ist.

Die Feuerstellen im Selima sandsheet ergeben 83,4 % und im Laqiya Gebiet 55,8 %. Für den Wadi Howar (Djabarona) steigt der Anteil wieder auf 94,5 %, wenn die Früchte der celtis intergrifolia nicht eingeschlossen werden. Mit Früchten sinkt der Anteil auf 62,5 %. Wie schwierig es sein kann Schlüsse aus dem Vorkommen von Gehölzarten zu ziehen, zeigen zwei benachbarte Fundplätze in Mudpans mit ähnlicher Zeitstellung. Zum Vergleich wird ein weiterer, in der Nähe liegender Fundplatz, der etwas jünger ist, aufgeführt.

Fundplatz Acacia sp. Tamarix sp. Chenopodiaceae Salvadora persica Maerua crassifolia Leptadenia pyrotechnica Cassia senna Rubiaceae Ziziphus sp. Grewia tenax Grewia villosa Calotropis procera Acacia albida Balanites aegyptiaca Boscia senegalensis Capparidaceae Capparis decidua Celtis integrifolia Summe Taxa Summe Proben Acacia inkl. Albida (%) Tamarix (%) Tamarix und Acacia (%)
Qattara – Siwa 271 1 6 3 278 97,5 97,8
Ain Dalla
Abu Minqar 70 1 70 100 100
Glass area 170 3 1 3 174 97,7 0,02 97,7
Mudpans
83/39 284 988 4 1 2 5 1279 22,2 77,2 99,4
85/56 1062 18 29 3 1109 95,8 0,01 95,8
85/50-1 1403 349 172 11 22 7 6 3 7 9 1980 70,8 17,6 88,4
Total Mudpans 2749 1355 4 172 41 24 7 6 3 7 10 4368 62,9 31 93
Wadi Akdar 45 758 1 85 4 889 5,1 85,3 90,4
Wadi Bakht 28 24 5 438 836 1 6 1332 64,9 0,02 64,9
Total Gilf Kebir 73 782 6 523 836 1 6 2221 40,9 35,2 76,1
Burg et Tuyur 357 2 34 7 3 42 99 3 4 9 551 82,8 82,8
Djebel Kamil 25 1 2 26 96,2 96,2
Bir Misaha 2 1 2 100 100
Total Selima 384 2 34 7 3 42 99 3 4 1 10 579 83,4 83,4
Wadi Shaw 1 196 852 36 68 15 13 1 49 30 119 665 12 2058 9,5 41,4 50,9
Wadi Shaw 2 53 46 18 5 15 68 6 205 25,9 22,4 48,3
Wadi Sahal 116 153 3 3 4 275 42,2 55,6 97,8
Total Laqiya 365 1051 54 73 15 16 4 49 30 134 733 12 2538 14,4 41,4 55,8
Wadi Howar 172 5 1 4 5 182 94,5 94,5
(Djabarona) (93)* * (275) (62,5) (62,5)
25° N x x x x x x x x x x x x 13

Während 83/39 und 85/50 –1 ein ähnliches Verteilungsmuster mit einem Tamariskenanteil von über 70 % zeigen, kommt auf dem Fundplatz 85/56 Tamariske aus unbekannten Gründen praktisch nicht vor.

Fundplatz Alter BP Akazie % Tamariske %
83/39 7360-8260 22,20 77,20
83/56 7370-7700 95,80 0,01
85/50-1 6880-7000 17,60 70,80

Vergleicht man Hölzer und andere Pflanzen verschiedener Gebiete der östlichen libyschen Wüste miteinander, so fällt auf, dass im Norden um den 25. Breitengrad Nord die Anzahl der Gehölztaxa höher ist als im Süden in Höhe des 20. Breitengrads Nord. Der Norden ist ebenfalls an Gräsern und Kräutern reicher als der Süden. Unter 25° N sind Taxa der Masara C Phase am südwestlichen Ausläufer des Abu Tartur Massivs, die von M. Mc Donald veröffentlicht wurden, zusammengefasst mit den Ergebnissen von Chufu und Kharafish (H. Riemer) und soweit verfügbar von Eastpans 95/2 (B. Gehlen).

Holzprobe.jpg

Abb.: Kernprobe Akazie, Abu-Muharik-Plateau, 2000, Foto: H. Riemer

Ferner fließen drei von K. Neumann untersuchte Proben von Abu Tartur ein.

  • Steinplatz 25°14’Nord – 30°03’Ost, nicht datiert, Acacia
  • Steinplatz 25°23’Nord – 30°05’Ost, nicht datiert, Tamarix
  • Steinplatz 25°20’Nord – 30°09’Ost, nicht datiert, Maerua crassifolia, Leptadenia pyrotechnica, Acacia

Diese Steinplätze liegen weit außerhalb der Playagebiete in der Nähe der Asphaltstraße von Kharga nach Dakhla. Eine weitere Analyse wurde vom Labor Köln unter der Nummer 3.741 Probe C – 1.638 erstellt. Die Bestimmung ergab ausschließlich Acacia. Das Alter wurde mit 7.370 +- 70 BP angegeben. Fundort ist der Plateauplatz 0011/83.

Auf Grund von Analysen einer Kohlen- und Aschenschicht aus der Tropfsteinhöhle von Djara (K. Kindermann) konnte S. Nussbaum eine Vegetationsform feststellen, die als Anastatica hieruchuntica – Anabasis articulata Vergesellschaftung bezeichnet wird. Dazu bemerkt die Autorin : „The dwarf shrub communities thrive under a semiarid* climate regime with seasonal precipitations as presently occurs along the Mediterranean coast of Egypt“. Diese Niederschlagsmenge beträgt 150 mm Winterregen (Siehe auch H.D. Müller, Gerstenanbau). Katharina Neumann (1989) schreibt dazu : „Jedoch reichen wahrscheinlich die 150 mm Winterniederschlag, die maximal an der marmarischen Küste fallen (Station Marsa Matruh : 144 mm/Jahr), nicht aus, um eine permanente, natürliche Gehölzvegetation zu ermöglichen. Außer dieser Zwergstrauch- Gesellschaft wuchsen aber in Djara > 50 % Tamarix, < 10 % Acacia und > 25 % Capparaceae. Daraus geht hervor, dass die Niederschlagsmengen höher als 150 mm Winterregen/Jahr gewesen sein muss ! Ob diese zusätzliche Menge Wasser nun auf den nachgewiesenen Sommerregen (Capparaceae) oder auf stärkeren Winterregen zurückzuführen ist, bleibt vorerst unklar. (* semiarid > 200 mm Winterregen nach Bubenzer und Ritter).

Bei weniger als 500 mm Niederschlag im Jahr spricht man von semiariden Gebieten --- S. Hölzl, M. Kölbl-Ebert in „die wüste“, Begleitbuch zur Landesausstellung im Lokschuppen Rosenheim. 2006

8 bis 10 Trockenmonate und weniger als 600 mm Sommerregen bzw. 400 mm Winterregen Niederschlag im Jahresmittel. (H. Mensching in : „Sahara, 10.000 Jahre zwischen Weide und Wüste“, Museen der Stadt Köln.

Die gleiche, an Winterregen gebundene Zwergstrauchgesellschaft von Anastatica und Anabasis, die in Djara angetroffen wurde, findet sich in Kharafish am Südrand des Plateaus wieder. Logischerweise muss dann auch für die Zone von Djara bis zum 25. Breitengrad Nord die Niederschlagsmenge von ca. 150 mm Winterregen, die zum Gedeihen dieser Assoziation unabdingbar ist, eingesetzt werden. Der im nubischen Sandstein gelegene Fundplatz Chufu weist Chenopodiaceae auf und verweist damit ebenfalls auf nördlichen Einfluss. Chufu ist, falls gleich hohe Niederschläge wie für das nicht weit entfernte Kharafish angenommen werden, durch höhere Temperaturen und durch seine Lage in der Sandsteinebene, also durch das Substrat, bevorzugt und kann zusätzlich vor allem südsahelische Gehölze wie Boscia senegalensis ausbilden. Größere Mengen von Hangwasser und breite, tiefe Wadikanäle, welche die sahelischen Gehölztaxa dauerhaft mit oberflächennahem Grundwasser hätten versorgen können, waren in Chufu nicht zu erwarten, da die Einzugsgebiete relativ unbedeutend sind.

Identifizierte Taxa der Fundplätze Djara, Kharafish und Chufu

Chufu Kharafish Djara
Acacia sp. Acacia sp. Acacia sp.
Capparidaceae Capparidaceae Capparidaceae
Chenopodiaceae Chenopodiaceae Chenopodiaceae
Tamarix Acacia nilotica Tamarix
Cornulaca Anastatica hieruchuntica Anastatica hieruchuntica
Boscia senegalensis Shouwia Monokotyledone
Calotropis procera Anabasis / Haloxylon Zilla spinosa
Acacia nilotica Citrullus Gramineae
Shouwia Hordeum vulgare Amaranthaceae
Farsetia stylosa Panicum
Boscia sp. Paniceae
Thesium

M. Mc Donald beschreibt in den „Oasis Papers 3“ (2003) die Vegetation während der Masara Phase, die ungefähr von 9000 bis 8200 BP dauerte, in etwa folgendermaßen : Zwölf Baum- Straucharten sind identifiziert worden, darunter : Acacia nilotica, Balanites aegyptiaca, Calotropis procera, Capparis decidua, Leptadenia pyrotechnica und Salvadora persica. Neun Taxa kommen auf den weit außerhalb der Dakhla- Oasen liegenden Fundstellen 260 und 308 vor. Sieben verschiedene Taxa waren es von 264 und 265 und fünf vom Fundplatz 300. Auf dem jüngeren Fundplatz 263 A (7730 +- 110 BP) kommen ebenfalls neun Gehölz- und Strauchtaxa vor. Kräuter und Gräser sind mit 49 Typen vertreten unter anderem Portulaca oleracea, ein essbares Kraut, welches offene, feuchte Standorte bevorzugt (Seit der Römerzeit wächst diese Pflanze ebenfalls im Rheinland).

Der Raum Abu Tartur weist eine nahezu permanente Besiedlung von 9120 BP bis 6420 BP, das sind 2700 Jahre, auf. Durch weitere C14 Daten, das nötige Material ist vorhanden, könnten sowohl ältere als auch jüngere Fundstellen bestimmt werden. An der Oberfläche wurden mehr als 20.000 Werkzeuge beobachtet. Rund um die Playas wurden 459 Reibschalen und 2114 Läufersteine gefunden. Auf dem Kalksteinplateau sind es 18 Reibschalen und 61 Läufersteine neben einer großen Menge von Sandstein- Bruchstücken, die in jedem Fall auf Mahlwerkzeuge zurückgeführt werden können. Diese Massierung von steinzeitlichem Mahlwerkzeug ist einmalig in Ägypten und bezeugt in indirekter Weise klimatische Bedingungen, unter denen Getreide und / oder Wildgetreide wachsen und reifen konnte.

Die Menge der aufgelisteten Herdstellen beträgt in der Ebene 1480 und auf dem Plateau 134, hinzu kommen noch die Feuerstellen, die unter Playasedimenten oder Hangschutt verborgen sind und die völlig der Deflation zum Opfer gefallen sind und die nur noch an der Rotfärbung des Untergrunds nachzuweisen sind. Wie schon die Menge der Mahlutensilien und die Masse der Werkzeuge, so ist auch die Konzentration von Herden ohne Vorbild in der westlichen Wüste Ägyptens.

Das auszuwertende biologische Material, welches hier verborgen liegt, übersteigt bei weitem alles was bisher auf diesem Gebiet zur Verfügung gestanden hat. Für Eastpans 95/5 schreibt B. Gehlen zu dem botanischen Material : „Unter den Samen und Pflanzenresten befinden sich acht wilde Grasarten, die noch heute von den Tuareg in der westlichen Sahara als Nahrungsmittel genutzt werden. Die meisten dieser Gräser sind auch aus prähistorischen Fundstellen in Farafra und Nabta bekannt, so unter anderem Reste von wildem Sorghum“. H. Barakat, die 95/2 untersucht hat, rekonstruiert auf Grund der botanischen Funde eine relativ feuchte Umwelt mit dichter Grasvegetation. An Gehölzen wurden Acacia sp. und Ziziphus sp. identifiziert. Das Alter der Fundstelle ist 6133 +- 30 BP (U + C 5757) und damit relativ jung wenn man davon ausgeht, dass nach Pachur und Roeper in diesem Raum die Playabildung gegen 6400 BP abgeschlossen war.

Pflanzenreste verschiedener Fundplätze

Bäume und Sträucher Nabta E-75-6 Mudpans Farafra 25° N
Acacia sp. X X X X
Tamarix sp. X X X X
Salvadora persica X X
Maerua crassifolia X X
Cassa senna X
Calotropis procera X X
Ziziphus sp. X X X
Grewia tenax X
Boscia senegalensis X
Balanites aegyptiaca X
Caparis decidua X
Acacia nilotica X
Chenopodiaceae X ? X X
Capparidaceae X ? X
Crucifereae X ?
Malvaceae X ?
Phoenix dactilifera X X ?
Leptadenia pyrotechnica X X
Kräuter und Gräser Nabta E-75-6 Farafra 25° N
Chencrus pennisetum X X
Bracharia X X X
Echinochloa X X X
Digitaria X X X
Gramineae X X
Panicum X X X
Setaria X X X
Sorghum X X X
Cyperaceae X
Portulaca oleracea X
Scirpus maritimus X
Hordeum vulgare X
Echinochloa colona X
Chencrus X
Cyperus X
Scirpus Schoenoplectus X
Rumex X
Curcurbi taceae X
Arnebia X
Anabasis X
Anastatica hieruchuntica X
Hordeum hexastichon nudum X
Triticum sp. X

Anzahl der Gehölztaxa

Lage 20°N 21°N 23°N 24°N 25°N
Anzahl
14 X
12 X
10 X X
8
6 X
4
2
0
Fundstellen Laqiya Selima Gilf Kebir Mudpans 25°N

Regenfeldbau in der Ostsahara zur Zeit der postpleistozänen Feuchtmaxima

Die agronomische Trockengrenze für den Regenfeldbau verläuft im Süden der Sahara nach H. Mensching ungefähr auf der Linie Dakar – Niamey – Fort Lamy – Darfur auf der Höhe des 12. Breitengrads. Im Norden der Sahara sind lediglich die küstennahen Gebiete und die sich anschließenden Gebirgsregionen Algeriens, Marokkos und Tunesiens geeignet. Diese Grenzen werden aber heute schon um 100 km im Maghreb und 200 km im Sahel überschritten. H. Mensching definiert die agronomische Trockengrenze dahingehend, dass sie bei etwa 300 mm Winterregen oder 500 mm Sommerregen zu suchen sei, wobei die Niederschläge auf 4 bis 5 Monate im Jahr verteilt sind. Versuche im Norden Ägyptens von H.D. Müller haben ergeben, dass bei einem Minimum von 150 mm Winterregen Gerste ihre Körnerfrüchte voll ausbilden kann. Hier sind aber schon ausgewählte Felder eingeschlossen, die zusätzlich kolluviales Wasser erhalten. Französische Wissenschaftler ( P. Pfeffer, Y. Monnies und Ph. Taquel ) definieren die Zonen von der Wüste bis zu den tropischen Gefilden wie folgt :

  • Unter 100 mm Sommerregen Wüste.
  • Von 100 bis 300 mm Nordsahel, der Regen fällt jedes Jahr und verteilt sich auf einen Monat. Das „Grün“ wird von Kamelen abgeweidet (z.B. Agadez 200 mm und 21 Tage Regen pro Jahr Anm. des Verfassers).
  • Von 300 bis 500 mm Südsahel, der Regen ist über zwei bis drei Monate verteilt, Bäume tauchen auf und Viehzucht ist möglich.
  • > 500 mm Beginn der tropischen Zone, der Regen verteilt sich über 100 Tage im Jahr, Ackerbau ist möglich, Hirse und Erdnüsse können wachsen.

Diese Einteilung stimmt weitesgehend mit der Definition H. Menschings überein.

Im Nahen Osten von den Zagrosbergen bis ins anatolische Hochland und entlang der Mittelmeerküste Palästinas wuchsen die Wildformen von Gerste und Weizen bei einem durchschnittlichen, jährlichen Niederschlag von über 300 mm. Diese Ressource wurde von ca. 11.000 BP bis 8000 BP von den dort lebenden Menschen genutzt. Frühe dörfliche Siedlungen sind von Osten nach Westen Ali Kosh, Ganj Dareh, Jarmo, Cayöun, Canhasan, Catal Hüyük und Hacilar. Im Bereich der Mittelmeerküste liegen Ras Shamra, Tell Ramad Munhata und Jericho.

Der Ackerbau gelangte um 8000 BP bis 6000 BP in die Euphrat- und Tigrisebene, wo mit künstlicher Bewässerung experimentiert wurde, da das Gebiet außerhalb der 300 mm Isohyete lag. Wahrscheinlich wurden Gerste und Weizen von Palästina ins Nildelta und weiter in den Süden Ägyptens gebracht.

Schon um ca. 8100 BP bis 7900 BP tauchen Gerste in domestizierter und wilder Form in Nabta Playa und etwas später um 7700 – 6200 BP Gerste und Weizen in Nabta und Kiseiba auf (El Hadidi 1980, Stemmler und Falk 1980). Wenn wir annehmen das Getreide sei vom Menschen transportiert worden, so kommen als mögliche Wege das Niltal oder aber die westliche Wüste in Frage.

Sorghum und Hirse sind von Süden, aus Nordost- Afrika kommend, nach Ägypten gelangt. Sorghum ist vor 7900 BP in Nabta nachgewiesen (E – 75 – 6), um 6700 – 6710 BP ist er zusammen mit Hirse im Wadi Obeiyd in der Farafrasenke angelangt. Gerste und Weizen von Norden eingeführt und Hirse und Sorgho von Süden kommend haben wahrscheinlich die gleichen Routen genommen nur jeweils in entgegengesetzter Richtung. Wenn aber südliche Getreidearten im Norden gewachsen sind und nördliche im Süden der westlichen Wüste Ägyptens, so kann davon ausgegangen werden, dass an allen geeigneten Orten auf diesem Weg, und das sind die Orte an denen Mahlwerkzeug gefunden wird, beide Getreidegruppen bekannt waren und auch genutzt worden sind.

Eine weitere Möglichkeit der Verbreitung des Getreides ist ein natürliches Eindringen der Taxa mit fortschreitendem Sommer- und Winterregen. Das würde allerdings Winterregen in Nabta Playa bedeuten. In jedem Fall folgt aus dem oben Gesagten, logischerweise dass die klimatischen Bedingungen ein Wachsen und Reifen von Körnerfrüchten erlaubten und daraus folgt wiederum eine jährliche Niederschlagsmenge von mehr als 150 mm Winterregen (Farafra) und von mehr als 300 mm Sommerregen (Nabta).

Um die stellenweise sehr hohe Dichte von steinzeitlichem Mahlwerkzeug in der Ostsahara zu erklären, wird, da viele Wissenschaftler eine höhere Niederschlagsmenge als 200 mm Sommerregen ausschließen, eine Art von genügsamen, trockenheitresistenten „Wildgetreide“ ins Spiel gebracht, welches mit Niederschlagsmengen von weniger als 200 mm Sommerregen / Jahr in der Lage sein soll essbare Körnerfrüchte zu produzieren. Der Name dieses Grases oder dieser Gräser ist nicht genannt. Die postulierten „Wildgetreide“ scheinen eine Schimäre zu sein. Wären sie bekannt, so könnte die Sahelzone endlich vom Hunger befreit werden, denn die Gebiete zwischen den Isohyeten 300 mm und 50 mm ( Sommerregen ) stellen ungeheuere Flächen dar, die für die Produktion von „Wildgetreide“ zur Verfügung stünden.

Es existiert eine Reihe von Wildgräsern, deren Samen in Notzeiten gegessen werden aber sie sind an die 300 mm Isohyete gebunden. Fährt man mit dem Geländewagen von Agadez (200 mm) in Richtung Tahoua, so wird die 300 mm Isohyete gequert und erst südlich dieser Linie macht der Reisende, der seinen Wagen verlässt, die unangenehme Bekanntschaft mit dem cram – cram (chencrus biflorus). Auch Wildgetreide in montanen Gunsträumen braucht, wenn es essbare Körner produzieren soll, gute Jahre d.h. ein Minimum von 300 mm Sommerregen oder äquivalente Wassermengen.

Nun könnte argumentiert werden, dass dank der geographischen Lage an den Schichtstufen, Wasser am Fuße der Hänge sich hätte sammeln können und dass so auch bei niedrigen Regenfällen genügend davon für die Pflanzen zur Verfügung gestanden haben würde. Für tiefwurzelnde Bäume und Sträucher ist dies sicherlich zutreffend, nicht aber für Gräser, ausgenommen einige Horstgräser, und vor allem nicht für Getreide. Körnerproduzierende Gräser brauchen entweder in bestimmten Abständen Regen, der die oberflächennahen Bodenschichten und so den Wurzelbereich durchfeuchtet oder aber künstliche Bewässerung. Wenn K. Neumann ein Beispiel von Hirseanbau aus der Bayuda mit Niederschlägen zwischen 25 mm und 50 mm angibt, so hätte fairerweise gesagt werden müssen, dass dies nur durch künstliche Bewässerung möglich ist (Forschung zur Umweltgeschichte der Ostsahara, Seite 116). In meinem Garten in Abu Tartur wuchsen ohne jegliche Regenfälle unter anderem Zuckerrohr und Bananenstauden. In Anou Araren nördlich von Agadez habe ich ca. 50 ha bewirtschaften lassen. Es wurden jährlich vier Ernten und zwar Sorghum, Weizen, Zwiebeln und Tomaten eingefahren und das bei einer Niederschlagsmenge von weniger als 150 mm Sommerregen/Jahr.

Eine Bewässerungstechnik dürfte in dem behandelten Zeitraum von den Siedlern in der libyschen Wüste noch nicht entwickelt worden sein.

Die Fauna (Wirbeltiere)

Die Knochenfunde der B.O.S. Mission wurden von Wim van Neer und H.P. Uerpmann untersucht. Die Fundstellen sind im Prinzip die gleichen, die für die Untersuchung der Baumvegetation K. Neumanns herangezogen worden sind. So sind auch die Probleme ähnlich. Zu große Distanzen zwischen den Fundplätzen, teilweise schlechter Erhaltungszustand des zu untersuchenden Materials und vor allem eine Lücke zwischen den Breitengraden 24° N und 29° N machen eine eindeutige Bewertung schwierig. Für Lobo in der Sandsee wird gesagt : „The sample contains almost nothing but unidentifiable mamal bones which, as far as could be established, belong all to the size class of the dorca gazelle. Only two enamel fragments indicate the presence of a large bovid. Dorca gazelle is represented by five identifiable fragments”. Die von Willmann abgesammelten und von H.P. Uerpmann bestimmten Knochen gehören zu Großsäugern, identifiziert wurde Pelorovis antiquus. Vom Fundplatz glass area 81/61 sind neben Dorca, Dama, Oryx und Hase vor allem Frosch- oder Krötenknochen gefunden worden, sie machen die Hälfte der Funde aus. Eine neuere Analyse, durchgeführt vom Institut für Paläoanatomie und Geschichte der Tiermedizin, München, gibt für 81/61 folgende Verteilung an :

Taxon Anzahl der Fragmente
Alcelaphus buselaphus 2
Oryx dammah 2
Addax nasomaculatus 5
Ovis aries 3
Bovide groß 2
Bovide mittelgroß 196
Bovide klein 9
Bovide unbestimmt 12
Lepus capensis 1

Die Amphibien fehlen in dieser Aufstellung.

Das Münchener Institut hat ebenfalls die Knochenfunde von Djara 90/1 sowie die von Abu Gerara 98/5 untersucht (N. Pöllath in „Drei Tierknochenaufsammlungen aus Ägypten, TPA 1“). Die Fauna von Djara 90/1 setzt sich wie folgt zusammen :

Taxon Anzahl der Fragmente
Addax nasomaculatus 1
Gazella sp. 3
Gazella dorcas 1
Bovide sehr groß 1
Bovide groß 9
Bovide mittelgroß 1
Bovide klein 6
Bovide unbestimmt 1
Caracal caracal 1
Unbestimmter Großtierknochen 46
Spathopis 1

Nicht enthalten in dieser Aufstellung von 90/1 sind ein ebenfalls in Djara gefundenes domestiziertes Schaf und ein einwandfrei identifizierter Nilpferdknochen. Die Großtierknochen machen in dieser Aufstellung ca. 80 % der Gesamtmenge aus und geben einen Hinweis auf ein günstiges Klima mit Niederschlägen, welche für dichten Graswuchs sowie für das Gedeihen von Bäumen ausreichend waren. Das Verhältnis von ca. 80 % Großtierknochen zu anderen findet sich in Gerara, nördlich des 26. Breitengrads Nord wieder, ist aber leider nur auf einer geringen Menge basiert. Unter den Boviden befindet sich ein Büffel.

Taxon Anzahl der Fragmente
Camelus dromedarius* 5
Bovide klein 1
Bovide sehr groß 3
Bos / Syncerus 1
  • * Die Dromedarknochen sind später in das Fundgut gelangt.

Das Verhältnis von domestizierten Tieren und unbestimmten Großsäugern zu Dama und Dorcas Gazellen beträgt für Abu Tartur 75 %. Aber auch hier ist die Menge der untersuchten Knochen gering. In Abu Tartur ist lediglich versucht worden, die Steinwerkzeuge in ihrer Gesamtheit zu erfassen. Von der Keramik hingegen oder von den faunistischen Relikten sind nur einzelne Belegstücke von der Oberfläche aufgenommen worden. In den Fundplatzbeschreibungen wird aber auf gehäuftes Auftreten von Keramik, Knochen und Holzkohle hingewiesen. Dennoch ist das Rind auf den Plateaufundstellen 0009/83, 0012/83 und 0054/85 nachgewiesen. Ziegen und / oder Schafe sind von 0008/13, 0010/83, 0012/83 und 0039/85 bekannt. Auch ein Nashorn kommt auf dem Plateau (0007/83) vor. Neben Gazellenresten wurde auch ein Kieferknochen der Hyäne geborgen. In der Sandsteinebene wurden an den Playarändern Knochen von Ziege und / oder Schaf von den Fundplätzen 1010/83 und 1032/82 aufgelesen. Rinder- oder Büffelknochen fanden sich auf dem Fundplatz 1048/84. Ein Nashorn stammt von 1010/83 ein Zebra (equus) von 1005/83.

Das Knochenmaterial der domestizierten Tiere und das der Wildfauna wurde dankenswerterweise von H. Berke analysiert. In den von M. Mc Donald bearbeiteten Fundstellen der Masara Phase, weit außerhalb der Dakhla Oasen, ist die Fauna weniger reich als die Vegetation es vermuten ließe. Neben Gazellen, Hasen, Eidechsen und einigen Vögeln enthält das Spektrum Schildkröten und Kröten. Das einzige recht anspruchsvolle Tier ist die Steppenkuhantilope, ein Bovide mit einer Schulterhöhe von 1,5 m und einem Gewicht von bis zu 250 kg.

Der afrikanische Hase (lepus capensis) bevölkert mit Ausnahme der dichten Wälder sämtliche Landschaftsformen und Klimazonen Afrikas. Ich selbst habe ihn im feucht- heißen Sambesital gejagt. Sein Auftreten bedeutet demnach lediglich, dass kein dichter Wald vorhanden war. Gazellen können auch in sehr trockenen Gegenden überleben, selbst ohne offenes Wasser. Sie müssen ihren Feuchtigkeitsbedarf aber dann aus ihrer Nahrung decken können, also durch frische, grüne Pflanzen. Wenn kein Wasser zur Verfügung steht und das wenige Futter trocken und verdorrt ist, findet auch eine Gazelle keine Überlebensmöglichkeit. Große Antilopen wie Alcelaphus buselaphus, von M. Mc Donald „hartebeest“ genannt, was eher dem südafrikanischen Verwandten Alcelaphus caama entspricht, brauchen Wasser und große Mengen Futter, sie können nicht wie Gazellen längere Trockenperioden überstehen. Auch in Dakhla stehen also die paläobotanischen Fakten in scharfen Gegensatz zu der ariden Umwelt südlich des 24. Breitengrads Nord.

In Mudpans weisen neben Vertretern genügsamer Boviden vor allem Elefant und Giraffe auf savannenartiges Gelände hin. In diesem Zusammenhang ist auch der große Anteil und der Artenreichtum der Raubtiere von Wichtigkeit. Auf keinen Fall sind Hyäne und Karakal Wüstenbewohner, ihre Anwesenheit lässt auf eine Vielzahl von möglichen Beutetieren schließen. Bemerkenswert ist das Fehlen von domestizierten Tieren, kommen doch in Eastpans neben Hund und Schaf auch Rinder vor und selbst in der Sandsee (81/61) werden Schaf und wahrscheinlich auch Rind angetroffen.

Fundkomplex T Taxa.png

Abb.: Taxa, Komplex T

Uebersicht Playa Ingrid Taxa.png

Abb.: Taxa, Komplex Ingrid

Uebersicht Playa West Taxa.png

Abb.: Taxa, Komplex West

Uebersicht Playa Vera Taxa.png

Abb.: Taxa, Komplex Vera

Uebersicht Playa Renate neu Taxa.png

Abb.: Taxa, Komplex Renate

Die Fauna (Mollusken)

Die kleine Landschnecke Zootecus insularis kommt auf dem Abu Tartur Plateau in sehr großen Mengen vor. Sie ist Indikator einer Krautvegetation und kann durch Eingraben kürzere Trockenperioden überleben. Ein Exemplar wurde auf 8485 +- 45 BP datiert. Getragen wurde der Pflanzenwuchs von terra rossa Böden.

Gastropoden, die sich eingraben, suchen Feuchtigkeit, die Böden mussten daher mächtig und in ihren tieferen Schichten dauerfeucht gewesen sein. Für Kröten, die sich in die Erde zurückziehen, gilt das gleiche. Weiterhin wurden zwei Exemplare von Bulinus truncatus auf dem Plateau und drei an den Endpfannen gefunden, wobei die Bestimmung nicht ganz zweifelsfrei ist.

Lymnaea natalensis, die fast ausschließlich in permanenten Gewässern lebt, ist mit 23 Exemplaren von Playa West und Playa Renate vertreten. Von Melanoides tuberculata, welche nur in Gewässern, die nicht regelmäßig austrocknen, lebt, ist nur ein Exemplar gefunden worden. Pila sp. ist jeweils mit einem juvenilem, ebenfalls zweifelhaftem Exemplar von 1019/82 und 1005/83 vertreten. Asphataria rubens oder Spathopis ist in Abu Tartur in großen Mengen vorhanden. 35 Exemplare von 35 verschiedenen Fundplätzen sind als Proben entnommen worden.

Spathopis ist nicht an tiefes Wasser gebunden, sondern kann auch in flachen Tümpeln leben, wenn diese regelmäßig überflutet werden (S. Kröpelin 1993 : 193 – 195). Bislang wurde angenommen, dass Asphataria aus dem Niltal in die Wüste gelangt sei, nur für den Wadi Howar gilt sie als autochthon, dort sind auf der Fundstelle 80/73 Bulinus truncatus, Melanoides tuberculatus und Planorbis Gastropoden gefunden worden, sie gelten, wie auch Asphataria als nicht eingeschleppt.

Warum sollte eine ähnliche Vergesellschaftung in Abu Tartur allochthon sein zumal Van Damme (1984) für die steinzeitlichen Phasen des Holozäns das Vorkommen von A. rubens westlich des Nils an Wasserstellen und Wadiläufen bezeugt.

Eine Altersanalyse an einer Spathopisschale vom Fundplatz 1004/83 hat einen Wert von 8110 +- 45 BP ergeben (KIA 23194), sie ist damit wesentlich älter als der älteste Fundplatz der Playa West und somit wahrscheinlich vor dem ersten Siedler an diesem Ort existent gewesen.

Die Fauna (Felsbildkunst)

Die sehr variantenreiche Felskunst Abu Tarturs zeigt unter anderem drei Gravierungen von Rindern und stellt in einer interessanten Perspektivform eine Schafherde dar. An Wildtieren werden Spießböcke, Giraffen, Antilopen und ein Strauß präsentiert.

Eine seltene Darstellung von Fischschwärmen in der Draufsicht, wie ein Beobachter von einem erhöhten Punkt am Ufer die Tiere sehen würde, weist auf permanentes Wasser hin. Ein in der Seitenansicht gravierter Fisch dürfte sehr viel jünger sein, er ist Teil eines Piktogramms, welches vielleicht schon in die prädynastische Zeit weist. Im Gegensatz zu den oben genannten Fischschwärmen ist er nicht unbedingt ein Beweis für sein Vorkommen an diesem Ort.

In „Rock drawings of southern upper Egypt II“ von 1939 beschreibt Hans A. Winkler die Gravierungen, die sich am Fuße des Abu Tartur Massivs bis nach Dakhla hinziehen und auch noch westlich und südlich der Oasen anzutreffen sind. Die Felszeichnungen von 1005/83 hatte er übersehen, kein Wunder in dem Gewirr von Zeugenbergen.

An neun Stationen finden sich Darstellungen von Giraffen. Antilopen und Strauße sind jeweils sechsmal dargestellt. Viermal kommen Gazellen und Ibex vor, letztere wären eher in der östlichen Wüste zu erwarten gewesen. Neben drei Stationen mit Abbildungen von Rindern sind auch zwei mit Elefanten vorhanden. Außerdem sind Hunde, Esel, Krokodile, Schlangen, Hase, Vogel und Kamel graviert. Bei neolithischen Felsgravierungen gehe ich davon aus, dass die abgebildeten Tiere in der Umgebung lebten und dem Künstler aus eigener Anschauung bekannt waren.

Weiter, ausführliche Informationen und Darstellungen finden sich unter Fundkomplex Abu Tartur Felskunst - Zeichnungen.

Vorkommen von domestizierten Tieren und von großen Wildtieren

Taxon Hund Ziege Schaf Rind Büffel* Hartebeest Nilpferd Nashorn Elefant Giraffe Egnus (Zebra)
Fundregion
Gilf Kebir X X X (Myers) X
Sandsee X X (96/15) X X (81/61)
Mudpans X X
Eastpans X X X
Dakhla (Mc Donald) X ? X
Dakhla** X X X X X X X X X
Abu Tartur X X X X X X ? X ? X
Kharga** X X X X X
Abu Gerara X
Djara X (Felsbild) X X X
Farafra X X
Nabta-Kiseiba X X X X X ?
Felsbilder Abu Tartur-Dakhla X X X X X
  • * Bouchud (1969) states categorically that the giant buffalo is a savanna dweller needing large quantities of water. (Aus dem englischen Original)
  • ** Die Oasen im frühen Holozän waren nicht bedeutender als heute. Der Wasseraustritt der Quellen lag allerdings auf einem höheren geographischen Niveau. Das Nachlassen des Wasserdrucks und damit der eventuellen Menge wurde harmonischer Weise durch die starken Deflationsraten ausgeglichen, so dass von einem gleichmäßigen Fördervolumen ausgegangen werden kann.

Da das Wasser aber nicht wie heute kanalisiert war, bildete sich eine Sumpflandschaft, die von Savannentieren nicht bevorzugt wird. Die aktuelle intensive, durch Pumpen beschleunigte Nutzung der endlichen Wasserreserven hat ein Ungleichgewicht bewirkt. Die Deflation kann die Verminderung des artesischen Drucks nicht mehr ausgleichen. Daher muss immer mehr Wasser aus größeren Teufen gehoben werden. Die von Leclant und Churcher durchgeführten Analysen der Oasenfauna sind zweifelhaft. Der auf einigen Fundstellen erhöhte Knochenanteil von kleinen Boviden und Hasen kann über die tatsächliche Zusammensetzung der Paläofauna ein falsches Bild zeichnen. Klein und Cruz – Uribe (1984) schreiben dazu : “In many instances prehistoric hunters probably butchered a large animal where it fell and brought only selected parts to their home base. In contrast, they probably often imported smaller animals intact”. (Aus dem englischen Original)

Die Komplexität der Beurteilung prähistorischer Knochenfunde wird von Hubert Berke ausführlich in seiner Arbeit “Zum Thema Archäozoologie” (1989) dargestellt.

Mensch und Umwelt

Die Lage der steinzeitlichen Fundplätze in der sie umgebenden Landschaft lässt zuweilen Schlüsse auf die klimatischen Bedingungen zu. Die Wasserversorgung ist in diesem Zusammenhang von besonderer Wichtigkeit.

Beispiel I AT 0002/84 ist mit 9120 +- 40 Jahren vor heute der bislang älteste datierte Fundplatz Abu Tarturs. Durch sein reichhaltiges, homogenes Fundmaterial weist er sich als Siedlungsplatz aus, der für eine gewisse Dauer angelegt worden ist. Die Versorgung mit Wasser könnte durch Regenwasser gewährleistet worden sein, welches sich in einem flachen Becken der Fundstelle AT 0014/85, etwa einen Kilometer nordöstlich gelegen, sammeln konnte. Kleinere Tümpel, heute im Gelände nicht mehr auszumachen, hätten sich in der Nähe von AT 0002/84 bilden können. Ähnliche Fundkomplexe gleichen Alters, wenn auch kleiner und weniger deutlich ausgeprägt, werden auf dem Plateau angetroffen aber bisher nie in der Ebene in der Nähe der großen Playas.

Daraus kann geschlossen werden, dass nach den großen Regenfällen zu Beginn des Holozäns die Wasserversorgung auf dem Plateau ohne große Endbecken kein Problem für die Siedler darstellte.

Beispiel II Die Fundstelle Ä 98/20 im Tiefsten einer Endpfanne, welche Wasser aus einem Einzugsgebiet von 563 km² sammelt, hat zu verschiedenen Zeiten, nach eigener Beobachtung vom Epipaläolithikum (langschmale Dreiecke, Rückenmesser) bis zum Spätneolithikum (gestielte, flächig bearbeitete Pfeilspitzen, side-blow-flakes) als Zufluchtsort am ENDE der Trockenzeiten gedient, wenn höher gelegene Wasserstellen ausgetrocknet waren und wenn die Weiden auf den Hamadas abgegrast waren. Während der Regenzeiten, es sind sowohl Sommerregen aus Süden als auch Winterregen aus Norden nachgewiesen, waren die Wasserstände wesentlich höher wie Proben vom Niveau + 5 m belegen. Die Siedler, ob Jägernomaden oder Hirten nutzten nach den Regenfällen die Hamadas und Wadis außerhalb der Senken, das Aktionsgebiet schloss ebenfalls den Dünengürtel des Abu Muharig ein. Während dieser Zeit waren die Bewohner sehr mobil und legten keine Dauerlager an. Der archäologische Nachweis ist durch die „short-term camps“ und die „overnight stopps“ (Kindermann) gegeben. Am Ende der Trockenzeiten wurde der Raum um die Endpfanne genutzt, die Mobilität war eingeschränkt, da nur noch wenige Wasserlöcher vorhanden waren und hierdurch erklärt sich die höhere Konzentration von Steinplätzen und Artefakten. Diese gut durchdachte und zutiefst logische Strategie wird auch heute noch von Hirtenvölkern in der Sahara angewandt (Niger, Mauretanien u.a.).

Nach aktueller Hypothese sind lediglich 100 mm Regen im Jahr gefallen. In der folgenden Rechnung werden die bislang für richtig gehaltenen Zahlen eingesetzt.

0,1 m Regen im Jahr x 563.000.000 m² = 56.300.000 m³/Jahr. Angenommen 80% des Wassers versickern oder verdunsten auf ihrem Lauf, angenommen die Endpfanne hat eine Größe von 1 km² so beträgt der Wasserstand am Ende der Regenzeit 11,2 m, eine Höhe, die mit meinen Beobachtungen größenordnungsmäßig übereinstimmt.

Beispiel III Das Einzugsgebiet von Ä 90/1 beträgt nach der gleichen Quelle wie weiter oben lediglich 1 km². Bei den von mir postulierten Wasserständen werden sich allerdings Überläufe zwischen den einzelnen Teilsenken gebildet haben und so auch hier die noch erkennbaren Mulden aufgefüllt haben. Der besondere Gunstfaktor des Fundplatzes bestand in der als Zisterne dienenden Höhle. Bei stärkeren Niederschlagsereignissen konnte Wasser in die Höhle überlaufen und dort eine Reserve von ca. 9000 bis 10.000 m³ bilden, genügend Wasser, um eine größere Population mit Haustieren während des ganzen Jahres zu versorgen (Die tägliche Menge entspricht einem großen Tankwagen von 30 m³ Fassungsvermögen).

Die Ereignisse lassen sich nachweisen an den verschwemmten Sedimenten, die im Höhleninneren einen fast waagerechten Untergrund bilden, wie er nur vom Wasser gestaltet werden konnte und an dem Vorhandensein von schalenförmigen pelitischen Sedimentkrusten, die im stillen Wasser abgesetzt werden.

Mit 100 mm Niederschlag im Jahr und einem Einzugsgebiet von 1 km² kann die Attraktivität des Fundplatzes nicht erklärt werden, da in einem Endbecken von ca. 300 m x 300 m der Höchstwasserstand nur etwas mehr als 1 m betragen würde falls die gesamte Wassermenge dort gesammelt würde. Bei 20% wie im Beispiel II waren es gerade einmal 20 cm Höchststand.

Beispiel IV beschreibt die Fundstelle Ä 95/2 in den Eastpans. Hier stehen bei 200mm Niederschlag pro Jahr und einem Einzugsgebiet von 227 km² in einem Sammelbecken von rund 3 km² (von Niv. –1 bis Niv. +5) 45.400.000 m³ Wasser zur Verfügung. Anzumerken ist, dass die bekannten Fundplätze jeweils Becken mit Flächen von ca. 500.000 m² aufweisen. Der Wasserstand würde bei 20% Ausnutzung auf der Gesamtfläche bei 3 m liegen, die kleineren und tiefer gelegenen Fundplätze könnten unter den gleichen Umständen einen wesentlich höheren Wasserstand aufweisen, rein rechnerisch bis ca. 9 m.

Die Altersangaben betreffen die Zeit um 6000 BP für das Spätneolithikum und 7214 BP für das Mittelneolithikum. Da die Menschen in dieser Zeit neben der Jagd von Körnerfrüchten und von den Produkten der Viehzucht lebten, dürfte eine ähnliche Situation existiert haben wie in Djara 98/20 nämlich eine Konzentration um einen Teich, in dem die letzten Wasserreserven am ENDE der Trockenzeit vorhanden waren.

Beispiel V bezieht sich auf AT 1005/83. Der bedeutende Fundplatz mit einem Alter von 6420 +- 60 BP Jahren weist eine Werkzeugmenge von 897 Stücken auf, hinzu kommen 40 Mahlsteine, 16 Reibschalen, 31 identifizierte Feuerstellen und Keramik. An faunistischen Material wurden u.a. Straußeneiperlen, bulinus truncatus, lymnaea natalensis und aspatharia rubens gefunden.

Der Fundplatz liegt am Nordrand eines ausgedehnten Playabeckens und ist um einen Inselberg aus nubischem Sandstein, der aus dem Holozänsediment herausragt, angeordnet. Die Positionen der immobilen Feuerstellen liegen zum Teil oberhalb der Niveaulinie 204 und reichen bis nahe an die wahrscheinliche Uferlinie, welche dem Niveau 202 entspricht.

Die weiter südlich gelegene mittelneolithische Fundstelle AT 1004/83 mit einem Alter von 7590 +- 75 BP Jahren liegt ebenfalls auf dem Niveau 204. Auch hier wird eine Variationsbreite angetroffen, so dass Fundplatzteile etwa zwischen Niv. 205 und Niv. 203 liegen. Weitere noch nicht datierte Fundstellen wie 1001 bis 1003, 1006 bis 1012 und 1039, 1040, 1044 und 1079 bis 1082 sind ebenfalls um die Niveaulinien 202 bis 205 gruppiert.

1005 83 Lageskizze.png

Abb.: Lageskizze Abu Tartur, Fundplatz 1005/83

Diese Belege lassen darauf schließen, dass die Playa über lange Zeiträume im wesentlichen das gleiche Sammelbecken und ähnliche Wasserstände aufwies. Ein Playaprofil welches an einem Sandsteinhügel ansteht, zeigt an seiner Basis eine Wechsellagerung von sandigen und tonigen Schichten. Darüber liegt eine kompakte tonige Masse von ~ 2 m Mächtigkeit ähnlich der von H. Riemer dokumentierten Schichten im Wadi Asfura in der Nähe der Fundstelle AT 1072/86 oder dem Aufschluss AT 1023/82 wo gut 2,50 m ungeschichtete Tonmassen anstehen und sich im nicht aufgeschlossenen Liegenden fortsetzen.

Diese tonigen Sedimente weisen auf eine gleichmäßige, nicht turbulente Wasserzufuhr hin wie sie z.B. bei Winterregen auftreten kann. Andere Schichten enthalten Kalkgeröll oder feine kalkige Verwitterungsprodukte, die wiederum auf heftige Sommerregen schließen lassen. Eine genauere Untersuchung des Sedimentationsgeschehens durch ein Geologenteam könnte hier endgültige Erkenntnisse erbringen.

Diskussion und Konklusion

Bezogen auf die libysche Wüste Ägyptens herrscht bei Wissenschaftlern bislang eine weitgehende Übereinstimmung, wonach die Gebiete zwischen dem 24. und dem 29. Breitengrad Nord zu keiner Zeit während des prähistorischen, holozänen Klimaoptimums eine höhere Regenmenge erhalten haben als 150 mm/Jahr.

R. Kuper und S. Kröpelin gehen in einer neueren diesbezüglichen Veröffentlichung von mehr als 50 mm bis 150 mm Niederschlägen im Jahr aus (Science 2006, Vol. 313, Fig. 3). Sie postulieren ein Vorrücken des tropischen Monsuns zu Beginn des Holozäns wonach südlich des Wadi Howars > 450 mm Sommerregen/Jahr fielen, bis in die Gegend um Laqiya mehr als 300 mm und bis zur ägyptisch sudanesischen Grenze und im Gilf Kebir > 150 mm Sommerregen im Jahr.

Das mediterrane Winterregensystem reichte bis ins Fayum, wo > 150 mm Winterregen angegeben sind. Auch dieser Wert ist zu niedrig angesetzt, jagten doch die Menschen im Fayum noch um 6000 BP Elefanten (site K) und Nilpferde (site N) und bauten Gerste, Leinen und Weizen an. Ein striktes Minimum von 250 mm Winterregen wären die Vorraussetzung für eine derartige Flora und Fauna. Durch das Vorhanden sein des Sees herrschte zwar kein Wassermangel, noch wichtiger ist aber ausreichend Regen, um eine Lebensgrundlage für Großtiere und Möglichkeiten zum Ackerbau zu schaffen. Ein Seeuferbewuchs würde nicht ausreichen. Vergleiche mit sogenannten Wüstenelefanten Namibias sind nicht angebracht, da diese die Wasserspeicher der Wadis, die durch Regen aus weit entfernten Gegenden gespeist werden, nutzen und lediglich durch Wüstengebiete wandern, um von einem Wadi zum nächsten zu gelangen.

Der Raum zwischen dem 30. Breitengrad Nord und dem 23. Breitengrad Nord lag demnach in einer Wüste, die weniger Regen erhielt als heute Agadez in der Republik Niger (200 mm Sommerregen). In dieser ägyptischen Zentralwüste fehlen die Gebirge, die zusätzliches Wasser in die trockenen Ebenen hätten leiten können, allenfalls sind einige Schichtstufen vorhanden.

Dieses Bild einer breitengradparallelen zonalen Klimaentwicklung, wie es für die Westwüste Ägyptens und den nordwestlichen Teil des Sudans gezeichnet wird, ist durchaus stimmig soweit es sich auf den südlichen Teil des Untersuchungsgebiets bezieht. Belege aus der Quartärgeologie, besonders aus dem Gilf Kebir, sowie weitere Fakten aus Fauna und Flora lassen keine Zweifel aufkommen. Weiter nördlich betreffen die Untersuchungen Teile der Großen Sandsee und das Abu Ballas Stufenland. Hier stellen sich die ersten Fragen. Wie kommen Savannengehölze und Savannentiere nach Mudpans und woher kommen die Graslandschaften und die Rinder von Eastpans ? Diese Gebiete folgen nicht mehr der etablierten Zonung und werden als Vorposten bezeichnet.

In der Nähe des 25. Breitengrads Nord, einer Zone, die bis auf Dakhla (M. Mc Donald) nicht intensiv bearbeitet worden ist, erlauben die harten Fakten nicht mehr an dem konservativen System festzuhalten. Wie neuere Forschungen nahe legen, reichten die tropischen Sommerregen nicht nur bis zum 24. Breitengrad Nord sondern weit über 27° N hinaus.

Das mediterrane Winterregensystem wurde bislang nicht genügend berücksichtigt und heute ist klar, dass die Winterregen von der Küste über Djara bis zu den Mudpans und vielleicht sogar bis in den Nordsudan reichten. Selbst der Gilf Kebir scheint zeitweilig in das Winterregenregime eingebunden gewesen zu sein.

Das Gebiet welches auf Grund seiner Topographie am stärksten durch die zwei sich überlappenden Regenzeiten begünstigt worden ist, liegt um den 25. Breitengrad Nord. Wir dürfen hier von > 150 mm Winterregen und von einer Sommerregenmenge gemäß der zonalen Ausbreitung der Isohyeten von > 50 bis 150 mm ausgehen. Der mittlere jährliche Niederschlag umgerechnet in Sommerregen (100 mm Winterregen entsprechen in der Landwirtschaft 200 mm Sommerregen) würde also nach folgender Rechnung diese Größenordnung gehabt haben :

(50 + 150) : 2 + (>150 x 2) = 100 + >300 = >400 mm äquivalenter Sommerregen.

Mit dieser Niederschlagsmenge könnte die Bildung der Rotböden auf dem Plateau und in der „Roten Wüste“ und die zum Teil riesige Ausdehnung der Playas in der Ebene und das Vorhandensein offener Wasserflächen erklärt werden. Damit ließe sich auch die Bildung von Kalzitkristallen in der Kontaktzone von Kalkstein und Playaboden schlüssiger belegen (H. Besler). Zugleich liegt diese Regenmenge in einem Bereich, der Rinderhaltung erlaubt und der dem Vorhandensein von wilden Großtieren nicht widerspricht.

Vor allem aber wird verständlich warum sich Menschen in diesem Raum niedergelassen haben, hier konnten sie gut leben und nicht nur überleben.

Es wird auch verständlich wenn Wendorf et al. (2001) eine Trockenzeit zwischen 8700 und 8600 BP feststellen, während Mc Donald gerade eine Blüte der Masara C Kultur konstatiert. Die Klimaregime waren unterschiedlich, der Einfluss der Winterregen, wenn überhaupt (Chenopodiceae in Nabta) wird im CPE- Bereich geringer gewesen sein als am 25. Breitengrad Nord.

Trotz der veränderten postulierten Umstände konnten die Siedler in der westlichen Wüste Ägyptens keine reine sedentäre Lebensweise führen. Im Anschluss an die Regenzeiten wurden das Plateau und die entlegenen Weidegebiete in der Ebene genutzt. Bei Wasserknappheit, auch >400 mm Niederschlag im Jahr ist recht wenig, sie entsprechen in etwa den Regenfällen der Kalahari, wurden die Ressourcen in der Umgebung der Playabecken einbezogen. Die Mobilität der Menschen ging aber über diesen jahreszeitlich bedingten Wechsel der Jagd- und Weidegründe sowie des Erntezyklus hinaus.

So tauchen auf den Fundplätzen in Abu Tartur einerseits Kaurischnecken und andere Gastropoden aus dem Roten Meer in den Inventaren auf und auf der anderen Seite libysches Wüstenglas. Zwischen den Herkunftsorten liegen ca. 1000 km Luftlinie. Granite und andere Tiefengesteine zur Herstellung von Reibschalen und Mahlsteinen aus der östlichen Wüste haben ebenfalls einen weiten Weg zurückgelegt.

Exportiert aus dem Raum Abu Tartur- Kharga wurde der Gebrauch von großen Dreieck- und Stielspitzen, die sich zunächst im Fayum und später in Merimde und in Badari wiederfinden. Einzelne Stücke wurden in Nabta, in der Djararegion und in Dakhla gefunden. Aus Sandstein gefertigte Mahlwerkzeuge auf dem Abu Muharig- Plateau stammen aus den Nubiaschichten, wie sie in Kharga, Abu Tartur und Dakhla anstehen.

Hinzu kommen viele nicht direkt fassbare gegenseitige Beeinflussungen wie auf dem Gebiet der Keramikherstellung. Für den materiellen und kulturellen Austausch genügte es, wenn Einzelpersonen oder kleine Gruppen während der kühleren Jahreszeit diese Kontakte pflegten.

Eselkarawanen von Dakhla nach Nubien unter Berücksichtigung der klimatischen Bedingungen.

Der Weg einer solchen Karawane würde über Abu Ballas führen. Abu Ballas ist einer dieser unscheinbaren Sandsteinhügel wie sie zu Tausenden in der westlichen oder libyschen Wüste Ägyptens vorkommen. Das besondere an diesem Hügel sind jedoch die große Menge an Wasserkrüge und die Scherbenreste aus pharaonischen Zeiten, die am Fuße des Hügels deponiert sind. Die Altersspanne reicht mit Intervallen von 2200BC bis 1070BC. Selbst römische Scherben sind noch zu finden. Sie wurden schon 1918 von den Engländern Ball und Moore entdeckt.

Heute versuchen Kölner Archäologen die Geheimnisse des Depots, rund 200km südwestlich der Oase Dakhla gelegen, zu lüften.

  • Sie gehen davon aus, dass das Klima zu Zeit der Deponierung der Krüge nicht wesentlich feuchter war als es heute ist, d.h. hyperarid.
  • Sie gehen weiter davon aus, dass der Weg von Abu Ballas weiter bis zum Gilf Kebir führte. Dafür sprechen Wegmarken (alamat), wenn sie auch im gebirgigem Teil sehr weit auseinander liegen und nicht eingesehen werden können, und Funde von Krügen und Keramikscherben.
  • Weiter wird postuliert soll der Weg über den Gebel Uweinat ins Innere Afrikas geführt haben. Der Uweinat ist ein Gebirge im Länderdreieck Ägypten, Sudan, Libyen und bietet reichlich Wasser aber kaum sichere Weiden. Hier liegen auch keine Befunde vor, die diese Theorie untermauern könnten.

Die Entfernungen belaufen sich von Abu Ballas zum Gilf Kebir auf rund 200km und vom Gilf zum Uweinat auf weitere approximative 200km. Der Weg sollte eine alternative Handelsroute sein, um schwarzafrikanische Luxusgüter nach Ägypten zu bringen. Er sollte die normalerweise genutzte Nilroute unter noch nicht vollständig geklärten Voraussetzungen ersetzen.

Die Ägypter ihrerseits mussten Güter zum Tausch anbieten können. Schmuckgegenstände und Tuche aber auch Werkzeuge und Waffen aus Kupfer und später aus Bronze wären mögliche Tauschobjekte. Allen Autoren (R. Kuper, K.P Kuhlmann, H. Riemer und anderen), die sich mit dieser Strecke, dem so genannten Abu Ballas Trail (ABT) befassen oder befasst haben ist klar, dass der logistische Aufwand, um solche Handelskarawanen auszurichten und erfolgreich in einem vollariden Wüstenbereich funktionieren zu lassen, enorm ist.

Es soll mit diesem Aufsatz versucht werden den logistischen Aufwand zu quantifizieren und eventuelle Alternativen aufzuzeigen. Für die Rechnung werden die Vorgaben von R. Kuper berücksichtigt („die wüste“ von C.C. Müller und J. de Castro Hrsg. 2006, Seite 80).

  • Tagesstrecke der Eselkarawane: 30km
  • Belastbarkeit der Tiere: 50 bis 70kg/Esel
  • Wasser- u. Futterbedarf: 10kg/Esel und Tag
  • Die Strecke Dakhla – Abu Ballas wird in 7 Etappen eingeteilt (7 × ~ 30km ~ 210km).

1.) Zunächst werden von der Oase Dakhla aus Vorräte auf der Strecke verteilt, die es erlauben die Tiere auf dem Hin- wie auch auf dem Rückweg zu versorgen.

2.) Danach läuft eine weitere Kolonne los und deponiert z.B. 1m³ Wasser oder 1t Futter am Zielort Abu Ballas. die Krüge wurden nicht nur in Abu Ballas sondern auch nördlich und südlich davon an geeigneten Plätzen deponiert. Um Wasser lagern zu können, müssen Tonkrüge transportiert werden. Diese Behälter, einmal am Ort und Stelle, bleiben dort und können immer wieder nachgefüllt werden.

3.) Um ein Depot von 300 Krügen, das ist die belegte Anzahl, aufzubauen, muss eine Eselkarawane 300 Krüge × 15kg/Krug = 4500kg über eine Distanz von ~ 200km bewegen.

4.) Um die Krugkolonne zu versorgen, muss eine weitere Vorratskolonne die entsprechenden Depots anlegen. Die Anzahl der einzusetzenden Tiere wird ermittelt indem die Eseltage*, die benötigt werden um 1000kg zu transportieren mit 4,5 multipliziert werden.

5.) Um die Vorräte für den Transport der Menge von 10000 l Wasser, die 300 Krüge zu füllen, werden weitere 9 × 1325 Eseltage benötigt, 1m³ Wasser ist vorher schon transportiert worden.

6.) Der eigentliche Wassertransport benötigt 9 x 280 Eseltage.

Eselkarawanen von Dakhla Tabelle Eseltage.png

Danach enthalten das Abu Ballas Depot und die weiteren Zwischendepots 300 Krüge mit 10m³ Wasser aber noch kein Futter für die Tiere, keine Nahrung für die Begleitmannschaft und kein Feuerholz.

  • *Eseltage, zu vergleichen mit Mannschichten in der Industrie.

Das ist aber kein großes Problem, da von der Basis Dakhla aus weitere Kolonnen von Transporttieren auf die Piste gebracht werden können, um die entsprechenden Futtermengen und sonstiges ins Ziel zu bringen. Der Arbeitseinsatz würde sich dann auf rund 50000 Eseltage erhöhen.

Das eigentliche Problem beginnt, unter Respektierung der postulierten Bedingungen, mit dem Vorratstransport zum 200km entfernten Gilf Kebir und weiter zum Gebel Uweinat, der ungefähr weitere 200km Luftlinie entfernt liegt. Der Arbeitsaufwand und die Kosten würden exponentiell ansteigen und sämtliche Esel der Oasen würden möglicherweise nicht ausreichen die 600km lange Wüstenstrecke mit Vorräten auszustatten. Nun sollen Handelskarawanen mit ägyptischen Waren beladen auf den Weg geschickt werden und mit nubischen Waren nach Dakhla zurückkehren. Man könnte Stellschrauben anziehen und argumentieren, die Tiere könnten schneller und weiter laufen und mehr Gepäck laden, es würde nicht wesentlich das Resultat auf der Strecke Abu Ballas – Gilf Kebir – Uweinat (oder Bir Misaha um nach Nubien zu gelangen) ändern. Die Schwierigkeiten wären nahezu unüberwindbar. Zu bemerken wäre noch, dass Tiere, die mit trockenem Futter versorgt werden, und dieses dürfte der Fall gewesen sein, täglich getränkt werden sollten. Außerdem darf eine ungewöhnliche Einzelleistung, wie z.B. ein Esel läuft 80km an einem Tag, nicht als Dauerleistung hochgerechnet werden. Eine Handelskarawane besteht im alten Reich gewöhnlich aus 300 Lasttieren (H.P. Kuhlmann in Tides of the Desert, Köln 2002).

Der Futter- und Wasserbedarf wäre für eine 600km lange Wüstenstrecke und einer Dauer von 21 Tagen für den Hin- und weitere 21 Tage für den Rückweg wie folgt:

10kg/Tag und Tier × 42 Tage × 300 Tiere = 126t

Aus der Tabelle geht hervor, dass 55600 Eseltage eingeplant werden müssen, um 1t Vorräte von Dakhla zum Uweinat transportieren zu können. Hinzu kommen noch 840 Eseltage für die Wasserkolonne.

56440 Eseltage x 126 t : 1 t = 7111440 Eseltage

Die Menge bedarf keiner Interpretation, die Karawanenreise von Dakhla zum Gebel Uweinat ist nicht realisierbar. Selbst eine Minikarawane von 100 Tieren würde immer noch:

56440 Eseltage x 42 t : 1 t = 2370980 Eseltage

benötigen.

Zusätzlich wären weitere Krugdepots anzulegen, Brennholz zum Brotbacken und Verpflegung für die Begleitmannschaft, welche aus Eseltreibern, Händler, Schreibern, Soldaten und Wachmannschaften besteht, bereitzustellen.

Vom Gebel Uweinat aus sind mindestens weitere 200km Wüstenstrecke mit angenommenen Niederschlägen unter 50mm/Jahr zu durchqueren (Climate controlled occupation in the Eastern Sahara during the main phases of the Holocene, Kuper und Kröpelin 2006). Hier wird endgültig klar, dass eine transsaharische Handelsroute unter den vorgegebenen Bedingungen nicht existiert haben kann. Da aber vieles für einen Abu Ballas Trail spricht, die Kruglager und die Wegzeichen, müssen die Vorbedingungen untersucht werden, vor allem das Klima, welches im alten Reich herrschte.

Die Linien gleicher Niederschlagsmengen, Isohyeten, sind nach Kuper und Kröpelin nach bestmöglichen Schätzungen auf der Basis von geologischen, archäozoologischen und archäobotanischen Daten etabliert worden.

Für die Siedlungskammer Abu Tartur habe ich weiter oben belegen können, dass Rotböden zu Beginn der steinzeitlichen Besiedlung im Holozän gebildet werden konnten. Es ist weiterhin belegt, dass Großsäuger wie Elefant, Nashorn oder Nilpferd und Giraffe sowie große Boviden im besprochenem Raum im frühen Holozän vorkamen. Die Präsenz von Savannengehölzen ist in den Holzkohlenproben von Abu Tartur und von weiteren Fundplätzen nahe des 25. Breitengrads bewiesen. Neben Sorghum, der in fast allen Fundgebieten nachgewiesen werden konnte, kommt in Djara auch Amarant vor, ein typisches Gewächs der Feuchtsavanne.

Der Raum in der Östlichen Sahara um den 25. Breitengrad hat nach Kuper und Kröpelin eine jährliche Niederschlagsmenge von >50 bis >150mm erhalten (Sommerregen). Er ist gleichzeitig eines der am dichtesten besiedelten Gebiete in der Zeit von ~9200 BP bis ~6200 BP. Es ist nicht gerade einleuchtend, dass Menschen in einen unwirtlichen Wüstenraum einwandern, wo doch zahlreiche nahe liegende Alternativen mit über 450mm Regen im Jahr existiert haben. Wenn aber schon die Schätzungen für die steinzeitliche Hauptbesiedlungsphase anzuzweifeln sind, so sind es erst recht die Annahmen für ein plötzliches, fast totales Ausbleiben des Regens nach 6400 BP bis in die dynastische Zeit hinein.

Die von mir behandelten Fundstellen sind von Berufsarchäologen, bis auf kurze Visiten, nicht besucht worden. Sie liegen außerdem rund 200km östlich von dem Nordsüdtranssekt, dessen Resultate für die Beurteilung von Archäofauna und Archäoflora herangezogen wird. Neue Fakten aus Abu Tartur und anderen Plätzen sind nicht berücksichtigt worden. Zahlreiche Belege aus historischer Zeit weisen auf eine nicht geringe Restbevölkerung in der Ostsahara und auf eine extensive Wanderweidewirtschaft hin. Geologische Daten: Ein Anwachsen der Playaböden ist nach 6400 BP, wie schon weiter oben erwähnt, nicht mehr zu beobachten. Daraus wurde geschlossen, dass keinerlei bedeutende Niederschläge nach diesem Datum gefallen seien.

Geringe Winterregenmengen um 100mm/Jahr haben nicht die Kraft Sedimente zu transportieren und selbst wenn Feinmaterial die Endbecken erreicht haben sollte, wird dieses in wenigen Jahren der Deflation zum Opfer fallen. Außerdem versickert sanfter Regen rasch im Sand oder in den noch vorhandenen Böden und kann so eine ephemerische Grasvegetation möglich machen (Beispiel Agadez in der Republik Niger mit 200mm Sommerregen/Jahr). Archäobotanische Daten: Diese Daten sind von Fundplätzen, die gegen Ende der holozänen, steinzeitlichen Besiedlungsphase besiedelt waren, erhoben worden, also bei sehr geringen Niederschlagsmengen. Das gleiche gilt für die archäozoologischen Untersuchungen. Sie entsprechen schon fast den Daten der vordynastischen Periode wenn nicht gar denen des Alten Reichs.

Bis auf die Kruglager des Abu Ballas Trails und die Claytonfallen in Mirmalla sind archäologische Funde nach dem Abwandern eines Großteils der neolithischen Bevölkerung sehr selten. Der Grund dafür liegt in der Wirtschaftsweise der Restbevölkerung. Hirten einer halbnomadischen Weidewirtschaft hinterlassen keine Spuren ihrer Präsenz. Werden die neue logische Sichtweise und die neuen Schätzungen, die Niederschlagsmengen betreffend, auf die Funktion des Abu Ballas Trails angewandt, so ergibt sich eine Lösung der genannten Probleme und Eselkarawanen von Dakhla nach Nubien rücken in den Bereich des technisch Möglichen. Wasser wird nach Regenfällen an geeigneten Orten gesammelt und in Tonkrüge gefüllt, Gras wird geschnitten oder ausgerissen und an den Etappenplätzen gelagert. Damit haben die „Wachmannschaften“ eine sinnvolle Tätigkeit denn zu bewachen gab es bei der alten Hypothese nichts, da die Wüste undurchlässig gewesen wäre und so auch keine Wasserräuber nach Abu Ballas gelangen konnten.

H. Müller- Karpe bezieht sich in seinem Handbuch der Vorgeschichte Band II Jungsteinzeit, Verlag C.H. Beck 1968, Seite 27 auf K. Butzer wenn er schreibt, Zitat: Dennoch war vor dem 3. Jt. v. Chr. die Austrocknung der beiderseitigen Wüsten nicht so weit fortgeschritten wie heute, so dass mit einer stellenweise Besiedlung in manchen Wadis und auf Hochflächen zu rechnen ist, die heute keine nennenswerte Vegetation mehr aufweisen.

Zur Wahl stehen nun zwei Szenarien:

  • 1.) Die heutige westliche Wüste war, wie viele Berufsarchäologen schätzen, in prädynastischer und Anfang der dynastischen Zeit hyperarid. Eselkarawanen nach Nubien waren nicht möglich.
  • 2.) Es fiel genügend Regen, der eine ephemere Grasvegetation hervorbrachte, Eselkarawanen nach Nubien waren möglich.

Anzahl der Tiere auf dem Hin- und Rückweg

Eselkarawanen von Dakhla Tabelle 1.png

Erster Abschnitt

Eselkarawanen von Dakhla Tabelle 2.png

Zweiter Abschnitt

Eselkarawanen von Dakhla Tabelle 3.png

Dritter Abschnitt

Eselkarawanen von Dakhla Tabelle 4.png